waiting
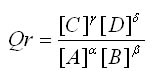
Le Diko - quotient de réaction