waiting
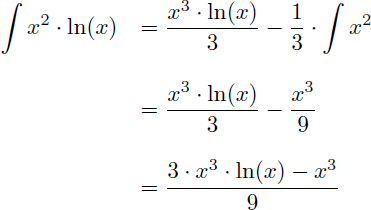
Le Diko - intégration par parties